Home Browse Text SearchFunctional Group SearchStructure SearchPreferences Administration

selected data collection: 1

IRIS SDF: browse content


1
  <<    <    >    >>  

1:682744 C79H159NO38
hit structure
1:682745 C48H99NO24
hit structure
1:682746 C72H147NO36
hit structure
1:682747 C8H17N3O4
hit structure
1:682748 C48H97N3O24
hit structure
1:682749 C72H145N3O36
hit structure
1:682750 C26H52O13S
hit structure
1:682751 C22H36N2O11
hit structure
1:682752 C87H161N3O41S2
hit structure
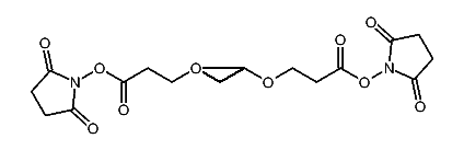
1:682753 C26H40N2O15
hit structure
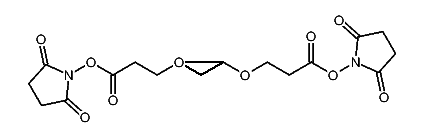
1:682754 C38H64N2O21
hit structure
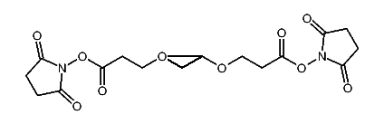
1:682755 C46H80N2O25
hit structure
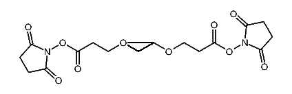
1:682756 C54H96N2O29
hit structure
1:682757 C62H112N2O33
hit structure
1:682758 C24H22F8O8
hit structure
1:682759 C66H106F8O29
hit structure
1:682760 C16H20N2O10
hit structure
1:682761 C18H24N2O11
hit structure
1:682762 C19H37N3O10
hit structure
1:682763 C27H53N3O14
hit structure
1:682764 C51H101N3O26
hit structure
1:682765 C24H49N3O11
hit structure
1:682766 C32H65N3O15
hit structure
1:682767 C65H120N4O30S
hit structure
1:682768 C61H117N3O28S
hit structure

1
  <<    <    >    >>  

entries in data collection: 684130