Home Browse Text SearchFunctional Group SearchStructure SearchPreferences Administration

selected data collection: 1

IRIS SDF: browse content


1
  <<    <    >    >>  

1:682546 C30H48N2O17
hit structure
1:682547 C26H38N6O7
hit structure
1:682548 C24H34N4O9
hit structure
1:682549 C19H29NO8
hit structure
1:682550 C34H70N4O13
hit structure
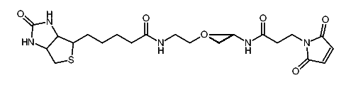
1:682551 C21H37N3O8S
hit structure
1:682552 C15H30O7
hit structure
1:682553 C23H46O11
hit structure
1:682554 C38H63N3O19
hit structure
1:682555 C14H20N2O7
hit structure
1:682556 C18H23N3O9
hit structure
1:682557 C62H111N3O31
hit structure
1:682558 C18H28N2O9
hit structure
1:682559 C22H31N3O11
hit structure
1:682560 C26H39N3O13
hit structure
1:682561 C30H47N3O15
hit structure
1:682562 C41H71N5O16S
hit structure
1:682563 C58H108N2O29
hit structure
1:682564 C27H43N5O8S
hit structure
1:682565 C26H44N2O13
hit structure
1:682566 C10H20O6
hit structure
1:682567 C18H36O10
hit structure
1:682568 C6H12O4
hit structure
1:682569 C52H104O27
hit structure
1:682570 C25H53NO12
hit structure

1
  <<    <    >    >>  

entries in data collection: 684130