Home Browse Text SearchFunctional Group SearchStructure SearchPreferences Administration

selected data collection: 1

IRIS SDF: browse content


1
  <<    <    >    >>  

1:682160 C16H28N4O4S
hit structure
1:682161 C46H50N10O9
hit structure
1:682162 C55H65N7O12
hit structure
1:682163 C51H53N7O16
hit structure
1:682164 C48H63N13O10
hit structure
1:682165 C23H34N4O4S3
hit structure
1:682166 C14H20N4O4
hit structure
1:682167 C16H15N5
hit structure
1:682168 C27H38D6O2
hit structure
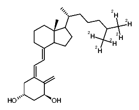
1:682169 C27H40D6O2
hit structure
1:682170 C27H38D6O
hit structure
1:682171 C27H38D6O2
hit structure
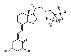
1:682172 C27H38D6O3
hit structure
1:682173 C27H41D3O
hit structure
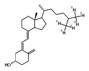
1:682174 C27H38D6O
hit structure
1:682175 C27H40D6O
hit structure
1:682176 C28H38D6O2
hit structure
1:682177 C28H38D6O2
hit structure
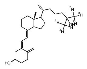
1:682178 C28H38D6O3
hit structure
1:682179 C28H41D3O
hit structure
1:682180 C28H38D6O
hit structure
1:682181 C29H47D3O2
hit structure
1:682182 C29H44D6O2
hit structure
1:682183 C31H46D6O3
hit structure
1:682184 C29H41D9O2
hit structure

1
  <<    <    >    >>  

entries in data collection: 684130