Home Browse Text SearchFunctional Group SearchStructure SearchPreferences Administration

selected data collection: 1

IRIS SDF: browse content


1
  <<    <    >    >>  

1:681228 C32H36N2O7
hit structure
1:681229 C29H30N2O7
hit structure
1:681230 C34H38N2O9
hit structure
1:681231 C28H28N2O7
hit structure
1:681232 C32H36N2O7
hit structure
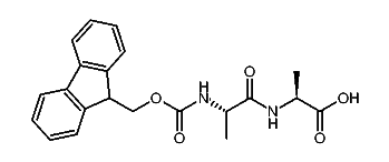
1:681233 C21H22N2O5
hit structure
1:681234 C45H40N4O5
hit structure
1:681235 C32H36N2O6
hit structure
1:681236 C25H26N4O5
hit structure
1:681237 C30H33N3O6
hit structure
1:681238 C23H24N2O5
hit structure
1:681239 C41H52N6O11
hit structure
1:681240 C25H30N2O5
hit structure
1:681241 C60
hit structure
1:681242 C84H28O4
hit structure
1:681243 C72H14O2
hit structure
1:681244 C60H60O60
hit structure
1:681245 C70
hit structure
1:681246 C94H28O4
hit structure
1:681247 C82H14O2
hit structure
1:681248 C69H6O12
hit structure
1:681249 C79H6O12
hit structure
1:681250 C70H70O70
hit structure
1:681251 C46H56N4O4
hit structure
1:681252 C21H24N2O2
hit structure

1
  <<    <    >    >>  

entries in data collection: 684130