Home Browse Text SearchFunctional Group SearchStructure SearchPreferences Administration

selected data collection: 1

IRIS SDF: browse content


1
  <<    <    >    >>  

1:680717 C11H13NO4
hit structure
1:680718 C10H17NO4
hit structure
1:680719 C9H17NO4
hit structure
1:680720 C12H23NO4
hit structure
1:680721 C11H13NO4
hit structure
1:680722 C8H15NO4
hit structure
1:680723 C16H15NO3
hit structure
1:680724 C7H15NO3
hit structure
1:680725 C8H15NO2
hit structure
1:680726 C8H15NO2
hit structure
1:680727 C6H12N2O3S
hit structure
1:680728 C11H15NO2S
hit structure
1:680729 C11H15NO2S
hit structure
1:680730 C11H15NO3S
hit structure
1:680731 C10H13NO2S
hit structure
1:680732 C22H21NO2S
hit structure
1:680733 C8H17NO2
hit structure
1:680734 C7H15NO2S2
hit structure
1:680735 C31H42N6O8
hit structure
1:680736 C10H18N2O3
hit structure
1:680737 C18H27N3O3
hit structure
1:680738 C15H28N4O2S
hit structure
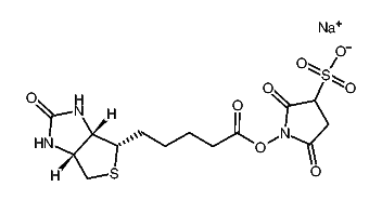
1:680739 C14H18N3NaO8S2
hit structure
1:680740 C13H24N4O2S
hit structure
1:680741 C17H11NO3
hit structure

1
  <<    <    >    >>  

entries in data collection: 684130