Home Browse Text SearchFunctional Group SearchStructure SearchPreferences Administration

selected data collection: 1

IRIS SDF: browse content


1
  <<    <    >    >>  

1:680442 C27H24FNO4
hit structure
1:680443 C26H30N2O6
hit structure
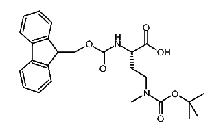
1:680444 C27H32N2O6
hit structure
1:680445 C27H32N2O6
hit structure
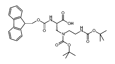
1:680446 C28H35N3O8
hit structure
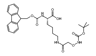
1:680447 C25H31N3O6
hit structure
1:680448 C23H25NO6
hit structure
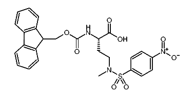
1:680449 C32H31N3O8S
hit structure
1:680450 C25H30N2O6
hit structure
1:680451 C20H22N2O4
hit structure
1:680452 C26H32N2O6
hit structure
1:680453 C22H26N2O4
hit structure
1:680454 C24H19F2NO4
hit structure
1:680455 C18H16FNO4
hit structure
1:680456 C18H16FNO4
hit structure
1:680457 C48H40F2N2O8
hit structure
1:680458 C26H25N3O8S
hit structure
1:680459 C30H23F2NO4
hit structure
1:680460 C26H25N3O8S
hit structure
1:680461 C24H18F9NO5
hit structure
1:680462 C24H18F9NO5
hit structure
1:680463 C20H18F3NO4S
hit structure
1:680464 C30H39N3O8
hit structure
1:680465 C20H19N3O4
hit structure
1:680466 C26H30N4O6
hit structure

1
  <<    <    >    >>  

entries in data collection: 684130