Home Browse Text SearchFunctional Group SearchStructure SearchPreferences Administration

selected data collection: 1

IRIS SDF: browse content


1
  <<    <    >    >>  

1:680086 C22H25NO4
hit structure
1:680087 C22H25NO4
hit structure
1:680088 C21H23NO4
hit structure
1:680089 C26H25NO5
hit structure
1:680090 C27H27NO5
hit structure
1:680091 C18H17NO4
hit structure
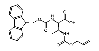
1:680092 C23H28N2O4
hit structure
1:680093 C24H31ClN2O4
hit structure
1:680094 C19H19NO5
hit structure
1:680095 C32H42N4O8
hit structure
1:680096 C35H42N4O7S
hit structure
1:680097 C29H38N2O8
hit structure
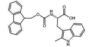
1:680098 C25H23NO4
hit structure
1:680099 C24H20FNO4
hit structure
1:680100 C27H24N2O4
hit structure
1:680101 C19H18N2O5
hit structure
1:680102 C22H25NO4S2
hit structure
1:680103 C18H17NO5
hit structure
1:680104 C21H23NO4
hit structure
1:680105 C27H33NO6
hit structure
1:680106 C20H19NO5
hit structure
1:680107 C23H24N2O6
hit structure
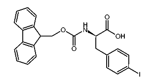
1:680108 C24H20INO4
hit structure
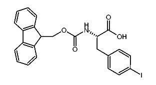
1:680109 C24H20INO4
hit structure
1:680110 C39H35NO4S
hit structure

1
  <<    <    >    >>  

entries in data collection: 684130