Home Browse Text SearchFunctional Group SearchStructure SearchPreferences Administration

selected data collection: 1

IRIS SDF: browse content


1
  <<    <    >    >>  

1:678420 C14H17NO6
hit structure
1:678421 C18H26N2O6
hit structure
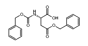
1:678422 C13H18N2O4
hit structure
1:678423 C16H23NO5
hit structure
1:678424 C12H15NO5
hit structure
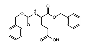
1:678425 C20H21NO6
hit structure
1:678426 C21H24N2O6
hit structure
1:678427 C17H23NO4
hit structure
1:678428 C27H36N4O7S
hit structure
1:678429 C13H15NO5
hit structure
1:678430 C19H28N2O6
hit structure
1:678431 C18H19NO5
hit structure
1:678432 C14H19NO6
hit structure
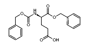
1:678433 C20H21NO6
hit structure
1:678434 C22H24N2O8S2
hit structure
1:678435 C14H19N5O6
hit structure
1:678436 C12H14N2O5
hit structure
1:678437 C17H23NO4
hit structure
1:678438 C24H32N4O7S
hit structure
1:678439 C14H19N5O6
hit structure
1:678440 C19H19NO6
hit structure
1:678441 C20H24N2O8
hit structure
1:678442 C12H15NO4
hit structure
1:678443 C13H16N2O5
hit structure
1:678444 C13H15NO6
hit structure

1
  <<    <    >    >>  

entries in data collection: 678500