Home Browse Text SearchFunctional Group SearchStructure SearchPreferences Administration

selected data collection: 1

IRIS SDF: browse content


1
  <<    <    >    >>  

1:678175 C33H33NO5
hit structure
1:678176 C29H31NO5
hit structure
1:678177 C31H37NO6
hit structure
1:678178 C32H39NO6
hit structure
1:678179 C37H41NO6
hit structure
1:678180 C29H33NO5
hit structure
1:678181 C40H42N2O7
hit structure
1:678182 C89H91N7O14
hit structure
1:678183 C96H98N8O15
hit structure
1:678184 C25H50N4O6
hit structure
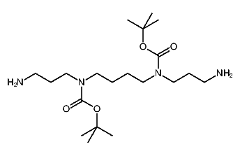
1:678185 C20H42N4O4
hit structure
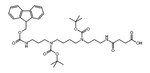
1:678186 C39H56N4O9
hit structure
1:678187 C10H24N6
hit structure
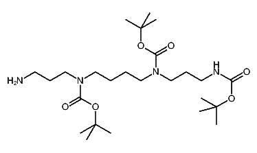
1:678188 C31H58N4O10
hit structure
1:678189 C20H42N4O4
hit structure
1:678190 C10H22N8
hit structure
1:678191 C29H54N4O9
hit structure
1:678192 C25H48N6O6
hit structure
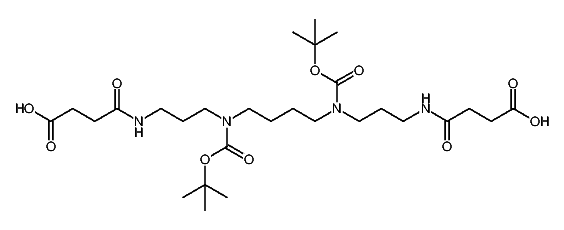
1:678193 C28H50N4O10
hit structure
1:678194 CH2Cl2
hit structure
1:678195 C3H7NO
hit structure
1:678196 C4H10O
hit structure
1:678197 C3H2F6O
hit structure
1:678198 C5H9NO
hit structure
1:678199 C5H11N
hit structure

1
  <<    <    >    >>  

entries in data collection: 678500