Home Browse Text SearchFunctional Group SearchStructure SearchPreferences Administration

selected data collection: 1

IRIS SDF: browse content


1
  <<    <    >    >>  

1:677907 C7H12N4O3
hit structure
1:677908 C8H14N4O3
hit structure
1:677909 C12H22N4O7
hit structure
1:677910 C23H28N4O5
hit structure
1:677911 C23H30N2O5
hit structure
1:677912 C27H34N2O8
hit structure
1:677913 C27H34N2O9
hit structure
1:677914 C14H22N4O6
hit structure
1:677915 C12H17NO7
hit structure
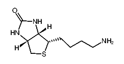
1:677916 C8H15N3O2
hit structure
1:677917 C12H22F6N6OP2
hit structure
1:677918 C12H17NO5Si
hit structure
1:677919 C5H6N2O
hit structure
1:677920 C24H37N5O3S3
hit structure
1:677921 C20H29N5O5S
hit structure
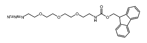
1:677922 C23H33N5O7S
hit structure
1:677923 C22H34N4O5S
hit structure
1:677924 C9H17N3OS
hit structure
1:677925 C20H17Cl
hit structure
1:677926 C6H7ClIN
hit structure
1:677927 C8H9NO2
hit structure
1:677928 C22H20O2S
hit structure
1:677929 C16H15F5N2O3S
hit structure
1:677930 C17H24N6O5
hit structure
1:677931 C18H23N3O5
hit structure

1
  <<    <    >    >>  

entries in data collection: 678500