Home Browse Text SearchFunctional Group SearchStructure SearchPreferences Administration

selected data collection: 1

IRIS SDF: browse content


1
  <<    <    >    >>  

1:677864 C27H36N6O7
hit structure
1:677865 C10H10N2O3
hit structure
1:677866 C19H23N9O2
hit structure
1:677867 C24H33N9O6
hit structure
1:677868 C12H21N5O4
hit structure
1:677869 C20H19N7O4
hit structure
1:677870 C31H40N8O9
hit structure
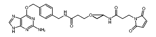
1:677871 C21H21N7O2S2
hit structure
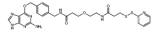
1:677872 C26H30N8O4S2
hit structure
1:677873 C34H31N7O3
hit structure
1:677874 C24H22N2O2
hit structure
1:677875 C23H21F9N4O4S
hit structure
1:677876 C21H16F9NO5S
hit structure
1:677877 C35H41F9N4O6S2
hit structure
1:677878 C16H30N4O4S
hit structure
1:677879 C7H7N3O
hit structure
1:677880 C8H4N2O4S
hit structure
1:677881 C12H16N2O5S2
hit structure
1:677882 C5H9N3O2S2
hit structure
1:677883 C24H24N2O4S2
hit structure
1:677884 C14H24N6O2S3
hit structure
1:677885 C20H22BNO7
hit structure
1:677886 C36H35BN2O13
hit structure
1:677887 C11H12N4O5S2
hit structure
1:677888 C18H16N2O10S2
hit structure

1
  <<    <    >    >>  

entries in data collection: 678500