Home Browse Text SearchFunctional Group SearchStructure SearchPreferences Administration

selected data collection: 1

IRIS SDF: browse content


1
  <<    <    >    >>  

1:677441 C40H42N2O8S
hit structure
1:677442 C32H34N2O7S
hit structure
1:677443 C49H44N2O7S2
hit structure
1:677444 C40H49N5O9S
hit structure
1:677445 C41H51N5O9S
hit structure
1:677446 C27H32N2O6S
hit structure
1:677447 C26H30N2O6S
hit structure
1:677448 C11H19NO5
hit structure
1:677449 C12H21NO5
hit structure
1:677450 C22H23NO5
hit structure
1:677451 C25H27N3O7
hit structure
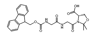
1:677452 C13H19N3O5
hit structure
1:677453 C96H161N21O24
hit structure
1:677454 C91H158N26O26
hit structure
1:677455 C180H311N51O51
hit structure
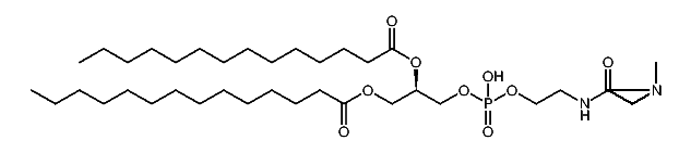
1:677456 C185H318N51O59P
hit structure
1:677457 C89H156N26O25
hit structure
1:677458 C178H309N51O50
hit structure
1:677459 C183H316N51O58P
hit structure
1:677460 C156H261N41O44
hit structure
1:677461 C185H314N52O53
hit structure
1:677462 C26H25N3O3
hit structure
1:677463 C29H30N4O4
hit structure
1:677464 C45H53N7O7S
hit structure
1:677465 C49H45N5O5
hit structure

1
  <<    <    >    >>  

entries in data collection: 678500