Home Browse Text SearchFunctional Group SearchStructure SearchPreferences Administration

selected data collection: 1

IRIS SDF: browse content


1
  <<    <    >    >>  

1:676788 C11H23NO4S
hit structure
1:676789 C11H23NO4S
hit structure
1:676790 C11H23NO4S
hit structure
1:676791 C27H30N2O8
hit structure
1:676792 C27H30N2O8
hit structure
1:676793 C27H30N2O8
hit structure
1:676794 C20H40O10S
hit structure
1:676795 C19H38O10S
hit structure
1:676796 C6H14O2S2
hit structure
1:676797 C6H14O2S2
hit structure
1:676798 C6H14O2S2
hit structure
1:676799 C6H14O2S2
hit structure
1:676800 C6H14O2S2
hit structure
1:676801 C14H16N2O6
hit structure
1:676802 C14H16N2O6
hit structure
1:676803 C14H16N2O6
hit structure
1:676804 C14H16N2O6
hit structure
1:676805 C34H38N2O7S
hit structure
1:676806 C34H38N2O7S
hit structure
1:676807 C24H47NO5
hit structure
1:676808 C16H36N2O7
hit structure
1:676809 C70H127N3O35
hit structure
1:676810 C74H129NO32
hit structure
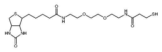
1:676811 C19H34N4O5S2
hit structure
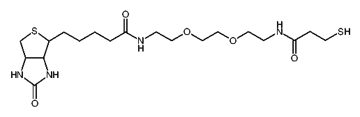
1:676812 C19H34N4O5S2
hit structure

1
  <<    <    >    >>  

entries in data collection: 678500