Home Browse Text SearchFunctional Group SearchStructure SearchPreferences Administration

selected data collection: 1

IRIS SDF: browse content


1
  <<    <    >    >>  

1:676381 C12H13N5O2
hit structure
1:676382 C11H14N2O4Se
hit structure
1:676383 C14H16N8O2
hit structure
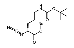
1:676384 C10H17N4NaO4
hit structure
1:676385 C12H13N5O2
hit structure
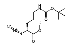
1:676386 C10H17KN4O4
hit structure
1:676387 C15H19N5O2
hit structure
1:676388 C14H17N5O2
hit structure
1:676389 C20H32N4O5S
hit structure
1:676390 C11H23N3O3
hit structure
1:676391 C10H19NO2
hit structure
1:676392 C22H26N2O4
hit structure
1:676393 C20H32N4O5S
hit structure
1:676394 C7H16N2O2
hit structure
1:676395 C6H12N2O3
hit structure
1:676396 C15H16N2O2
hit structure
1:676397 C9H18N2O3
hit structure
1:676398 C10H13NO2
hit structure
1:676399 C9H18N2O3
hit structure
1:676400 C13H14N2O
hit structure
1:676401 C16H16N4O
hit structure
1:676402 C13H14N2O2
hit structure
1:676403 C12H18N2O4
hit structure
1:676404 C12H18N2O4
hit structure
1:676405 C5H9NO3
hit structure

1
  <<    <    >    >>  

entries in data collection: 678500