Home Browse Text SearchFunctional Group SearchStructure SearchPreferences Administration

selected data collection: 1

IRIS SDF: browse content


1
  <<    <    >    >>  

1:674065 C37H35NO7
hit structure
1:674066 C38H37NO7
hit structure
1:674067 C44H44N2O4
hit structure
1:674068 C43H41NO7
hit structure
1:674069 C79H157N7
hit structure
1:674070 C19H28N2O6
hit structure
1:674071 C30H34N2O6
hit structure
1:674072 C29H32N2O6
hit structure
1:674073 C28H30N2O6
hit structure
1:674074 C21H34N2O6
hit structure
1:674075 C29H32N2O6
hit structure
1:674076 C28H30N2O6
hit structure
1:674077 C20H30N2O6
hit structure
1:674078 C21H34N2O6
hit structure
1:674079 C31H36N2O6
hit structure
1:674080 C16H25NO6
hit structure
1:674081 C31H36N2O6
hit structure
1:674082 C31H36N2O6
hit structure
1:674083 C34H42N2O6
hit structure
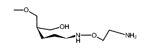
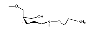
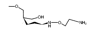
1:674084 C15H23NO4S
hit structure
1:674085 C34H42N2O6
hit structure
1:674086 C32H38N2O6
hit structure
1:674087 C11H28N2O3
hit structure
1:674088 C11H28N2O3
hit structure
1:674089 C11H28N2O3
hit structure

1
  <<    <    >    >>  

entries in data collection: 684130