Home Browse Text SearchFunctional Group SearchStructure SearchPreferences Administration

selected data collection: 1

IRIS SDF: browse content


1
  <<    <    >    >>  

1:673894 C9H20N2O2
hit structure
1:673895 C11H22N2O2
hit structure
1:673896 C9H20N2O2S2
hit structure
1:673897 C16H26N2O2
hit structure
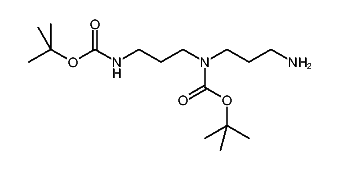
1:673898 C13H26N2O2
hit structure
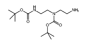
1:673899 C14H29N3O4
hit structure
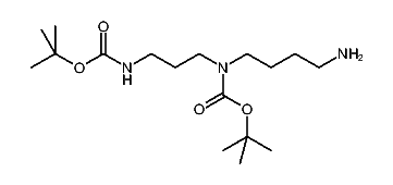
1:673900 C14H29N3O4
hit structure
1:673901 C16H33N3O4
hit structure
1:673902 C16H33N3O4
hit structure
1:673903 C17H35N3O4
hit structure
1:673904 C17H35N3O4
hit structure
1:673905 C10H22N4O3
hit structure
1:673906 C24H50N4O4
hit structure
1:673907 C9H20N2O2S2
hit structure
1:673908 C13H28N2O2
hit structure
1:673909 C14H30N2O2
hit structure
1:673910 C15H32N2O2
hit structure
1:673911 C16H34N2O2
hit structure
1:673912 C17H36N2O2
hit structure
1:673913 C14H27N3O4
hit structure
1:673914 C9H19N3O2
hit structure
1:673915 C9H18N2O3
hit structure
1:673916 C23H47N5O6
hit structure
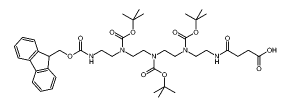
1:673917 C42H61N5O11
hit structure
1:673918 C13H22N2O4S2
hit structure

1
  <<    <    >    >>  

entries in data collection: 684130