Home Browse Text SearchFunctional Group SearchStructure SearchPreferences Administration

selected data collection: 1

IRIS SDF: browse content


1
  <<    <    >    >>  

1:673719 C15H29N5O7
hit structure
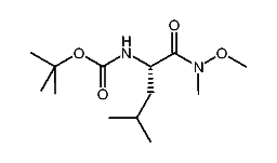
1:673720 C10H17NO5
hit structure
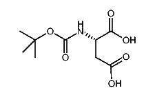
1:673721 C9H17NO5
hit structure
1:673722 C16H28N2O8S2
hit structure
1:673723 C15H21NO4S
hit structure
1:673724 C16H23NO4S
hit structure
1:673725 C15H19N3O7
hit structure
1:673726 C20H24N2O8
hit structure
1:673727 C9H15NO6
hit structure
1:673728 C22H25NO4S
hit structure
1:673729 C13H18N2O4
hit structure
1:673730 C14H25NO6
hit structure
1:673731 C20H22N2O6
hit structure
1:673732 C18H22N2O6
hit structure
1:673733 C14H20N2O6
hit structure
1:673734 C10H15NO5
hit structure
1:673735 C9H18N2O4
hit structure
1:673736 C13H16N2O6
hit structure
1:673737 C16H21N3O7
hit structure
1:673738 C23H26N2O8
hit structure
1:673739 C21H26N2O8
hit structure
1:673740 C17H24N2O6
hit structure
1:673741 C15H24N2O6
hit structure
1:673742 C13H26N2O4
hit structure
1:673743 C17H24N2O6
hit structure

1
  <<    <    >    >>  

entries in data collection: 684130