Home Browse Text SearchFunctional Group SearchStructure SearchPreferences Administration

selected data collection: 1

IRIS SDF: browse content


1
  <<    <    >    >>  

1:673360 C11H21NO4
hit structure
1:673361 C21H23Cl2NO5
hit structure
1:673362 C21H25NO5
hit structure
1:673363 C18H21NO4
hit structure
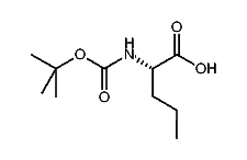
1:673364 C9H17NO4
hit structure
1:673365 C16H21NO4
hit structure
1:673366 C18H21NO4
hit structure
1:673367 C13H18N2O4
hit structure
1:673368 C21H34N4O7S
hit structure
1:673369 C16H21NO6
hit structure
1:673370 C21H23NO5
hit structure
1:673371 C14H25NO4
hit structure
1:673372 C13H23NO4
hit structure
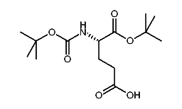
1:673373 C14H25NO6
hit structure
1:673374 C18H23N3O4
hit structure
1:673375 C15H21NO5
hit structure
1:673376 C17H23NO5
hit structure
1:673377 C14H17NO4
hit structure
1:673378 C26H32N2O6
hit structure
1:673379 C22H34N2O6
hit structure
1:673380 C10H19NO5S
hit structure
1:673381 C11H21NO4
hit structure
1:673382 C10H19NO4
hit structure
1:673383 C18H25ClN2O6
hit structure
1:673384 C14H18ClNO4
hit structure

1
  <<    <    >    >>  

entries in data collection: 678500