Home Browse Text SearchFunctional Group SearchStructure SearchPreferences Administration

selected data collection: 1

IRIS SDF: browse content


1
  <<    <    >    >>  

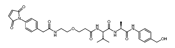
1:673024 C34H34N4O5
hit structure
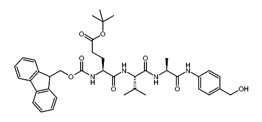
1:673025 C41H37N5O9
hit structure
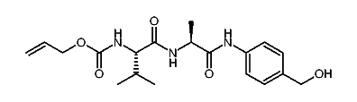
1:673026 C20H30ClN3O4
hit structure
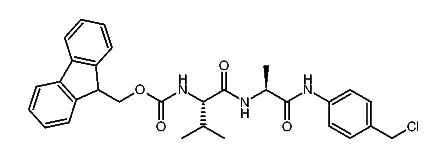
1:673027 C30H32ClN3O4
hit structure
1:673028 C21H31ClN6O3
hit structure
1:673029 C20H26ClN3O3
hit structure
1:673030 C25H33ClN4O5
hit structure
1:673031 C20H29ClN6O4
hit structure
1:673032 C23H32ClN3O5
hit structure
1:673033 C27H30N4O6
hit structure
1:673034 C34H33N5O10
hit structure
1:673035 C30H36N6O7
hit structure
1:673036 C37H39N7O11
hit structure
1:673037 C32H39N5O8
hit structure
1:673038 C39H42N6O12
hit structure
1:673039 C13H14O5
hit structure
1:673040 C20H17NO9
hit structure
1:673041 C42H54N6O9
hit structure
1:673042 C49H57N7O13
hit structure
1:673043 C39H48N4O8
hit structure
1:673044 C46H51N5O12
hit structure
1:673045 C19H27N3O5
hit structure
1:673046 C22H33N5O6
hit structure
1:673047 C12H14N2O
hit structure
1:673048 C9H18N2O2
hit structure

1
  <<    <    >    >>  

entries in data collection: 678500