Home Browse Text SearchFunctional Group SearchStructure SearchPreferences Administration

selected data collection: 1

IRIS SDF: browse content


1
  <<    <    >    >>  

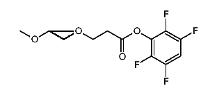
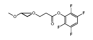
1:671706 C17H22F4O7
hit structure
1:671707 C33H54F4O15
hit structure
1:671708 C57H102F4O27
hit structure
1:671709 C94H149N5O39
hit structure
1:671710 C32H52F4O14
hit structure
1:671711 C56H100F4O26
hit structure
1:671712 C58H104F4O27
hit structure
1:671713 C68H114N2O26
hit structure
1:671714 C45H68N2O14
hit structure
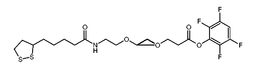
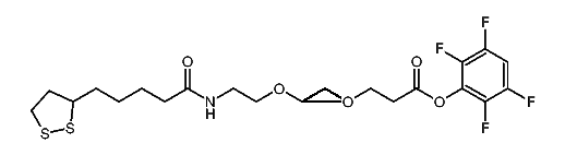
1:671715 C25H35F4NO7S2
hit structure
1:671716 C33H51F4NO11S2
hit structure
1:671717 C41H67F4NO15S2
hit structure
1:671718 C65H115F4NO27S2
hit structure
1:671719 C89H163F4NO39S2
hit structure
1:671720 C66H126N4O26S3
hit structure
1:671721 C20H20F4N2O7
hit structure
1:671722 C24H28F4N2O9
hit structure
1:671723 C32H44F4N2O13
hit structure
1:671724 C40H60F4N2O17
hit structure
1:671725 C64H108F4N2O29
hit structure
1:671726 C88H156F4N2O41
hit structure
1:671727 C115H209F4N3O54
hit structure
1:671728 C19H24BrF4NO7
hit structure
1:671729 C35H56BrF4NO15
hit structure
1:671730 C59H104BrF4NO27
hit structure

1
  <<    <    >    >>  

entries in data collection: 672870