Home Browse Text SearchFunctional Group SearchStructure SearchPreferences Administration

selected data collection: 1

IRIS SDF: browse content


1
  <<    <    >    >>  

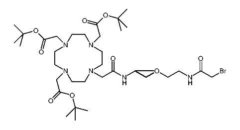
1:671682 C42H79BrN6O19
hit structure
1:671683 C144H285N2O59P
hit structure
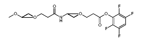
1:671684 C109H205F4NO52
hit structure
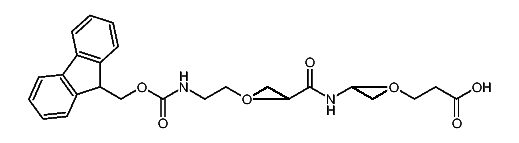
1:671685 C25H28O3S
hit structure
1:671686 C103H205NO52
hit structure
1:671687 C78H151BrN6O31
hit structure
1:671688 C117H214N2O53
hit structure
1:671689 C110H210N2O53
hit structure
1:671690 C102H204N2O51
hit structure
1:671691 C28H54Br2N2O13
hit structure
1:671692 C193H296N12O60
hit structure
1:671693 C64H82N4O15
hit structure
1:671694 C93H184NO34P
hit structure
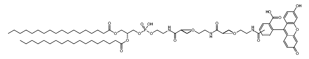
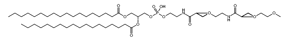
1:671695 C163H299N4O60P
hit structure
1:671696 C159H310N7O65P
hit structure
1:671697 C165H298N3O64P
hit structure
1:671698 C164H319N6O65PS
hit structure
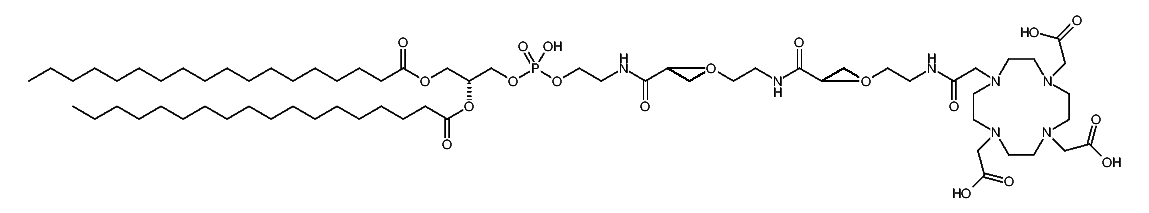
1:671699 C201H390N5O86P
hit structure
1:671700 C237H460N12O112
hit structure
1:671701 C141H256N12O64
hit structure
1:671702 C10H19BrN4O4
hit structure
1:671703 C26H51BrN4O12
hit structure
1:671704 C50H99BrN4O24
hit structure
1:671705 C10H24N4O5S
hit structure
1:671706 C17H22F4O7
hit structure

1
  <<    <    >    >>  

entries in data collection: 672870