Home Browse Text SearchFunctional Group SearchStructure SearchPreferences Administration

selected data collection: 1

IRIS SDF: browse content


1
  <<    <    >    >>  

1:671656 C13H28N2O5
hit structure
1:671657 C75H141N2O26P
hit structure
1:671658 C45H73F4N5O13
hit structure
1:671659 C69H136NO22P
hit structure
1:671660 C61H105F4N5O21
hit structure
1:671661 C108H203F4NO51
hit structure
1:671662 C85H153F4N5O33
hit structure
1:671663 C53H105NO27
hit structure
1:671664 C33H49F4N5O13
hit structure
1:671665 C59H105F4NO27
hit structure
1:671666 C49H81F4N5O21
hit structure
1:671667 C24H50N4O12
hit structure
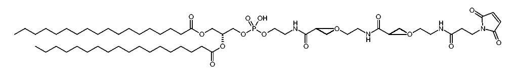
1:671668 C73H129F4N5O33
hit structure
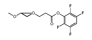
1:671669 C28H36F4N2O11
hit structure
1:671670 C59H107N7O21
hit structure
1:671671 C17H21F4N3O6
hit structure
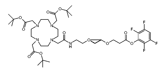
1:671672 C33H53F4N3O14
hit structure
1:671673 C47H83N7O21
hit structure
1:671674 C86H159N3O43
hit structure
1:671675 C71H131N7O33
hit structure
1:671676 C28H56O15
hit structure
1:671677 C32H59NO17
hit structure
1:671678 C34H56F4O15
hit structure
1:671679 C150H289N4O61P
hit structure
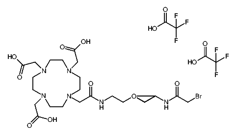
1:671680 C30H49BrF6N6O15
hit structure

1
  <<    <    >    >>  

entries in data collection: 672870