Home Browse Text SearchFunctional Group SearchStructure SearchPreferences Administration

selected data collection: 1

IRIS SDF: browse content


1
  <<    <    >    >>  

1:671531 C29H60N2O14
hit structure
1:671532 C34H66N4O14S
hit structure
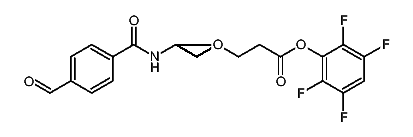
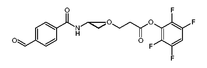
1:671533 C41H59F4NO16
hit structure
1:671534 C65H107F4NO28
hit structure
1:671535 C34H65N3O13S2
hit structure
1:671536 C12H15NO5
hit structure
1:671537 C16H20N2O2S4
hit structure
1:671538 C16H20N2O2S4
hit structure
1:671539 C16H20N2O2S4
hit structure
1:671540 C16H20N2O2S4
hit structure
1:671541 C16H20N2O2S4
hit structure
1:671542 C12H19NO3S2
hit structure
1:671543 C12H19NO3S2
hit structure
1:671544 C12H19NO3S2
hit structure
1:671545 C12H19NO3S2
hit structure
1:671546 C12H19NO3S2
hit structure
1:671547 C24H37N5O5S3
hit structure
1:671548 C24H37N5O5S3
hit structure
1:671549 C24H37N5O5S3
hit structure
1:671550 C24H37N5O5S3
hit structure
1:671551 C12H28N2O6Si
hit structure
1:671552 C12H28N2O6Si
hit structure
1:671553 C12H28N2O6Si
hit structure
1:671554 C12H28N2O6Si
hit structure
1:671555 C16H31N3O6Si
hit structure

1
  <<    <    >    >>  

entries in data collection: 672870