Home Browse Text SearchFunctional Group SearchStructure SearchPreferences Administration

selected data collection: 1

IRIS SDF: browse content


1
  <<    <    >    >>  

1:671502 C19H37N3O10
hit structure
1:671503 C27H53N3O14
hit structure
1:671504 C51H101N3O26
hit structure
1:671505 C24H49N3O11
hit structure
1:671506 C32H65N3O15
hit structure
1:671507 C65H120N4O30S
hit structure
1:671508 C61H117N3O28S
hit structure
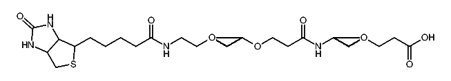
1:671509 C112H218N4O53S
hit structure
1:671510 C26H50N4O9S
hit structure
1:671511 C34H66N4O13S
hit structure
1:671512 C58H114N4O25S
hit structure
1:671513 C65H119N5O28S
hit structure
1:671514 C26H48N6O9S
hit structure
1:671515 C34H64N6O13S
hit structure
1:671516 C58H112N6O25S
hit structure
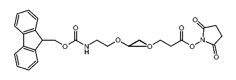
1:671517 C24H29NO7
hit structure
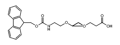
1:671518 C28H37NO9
hit structure
1:671519 C90H161NO40
hit structure
1:671520 C30H36N2O10
hit structure
1:671521 C38H52N2O14
hit structure
1:671522 C46H68N2O18
hit structure
1:671523 C42H59N5O11S
hit structure
1:671524 C58H91N5O19S
hit structure
1:671525 C56H111NO28
hit structure
1:671526 C80H159NO40
hit structure

1
  <<    <    >    >>  

entries in data collection: 672870