Home Browse Text SearchFunctional Group SearchStructure SearchPreferences Administration

selected data collection: 1

IRIS SDF: browse content


1
  <<    <    >    >>  

1:671451 C6H11IN4O2
hit structure
1:671452 C6H11IN4O2
hit structure
1:671453 C6H11IN4O2
hit structure
1:671454 C6H11IN4O2
hit structure
1:671455 C80H155NO41
hit structure
1:671456 C76H152O39
hit structure
1:671457 C102H203NO51
hit structure
1:671458 C47H96O24
hit structure
1:671459 C73H148O37
hit structure
1:671460 C31H65NO15
hit structure
1:671461 C73H149NO36
hit structure
1:671462 C97H197NO48
hit structure
1:671463 C75H151NO38
hit structure
1:671464 C80H154N2O39
hit structure
1:671465 C104H202N2O51
hit structure
1:671466 C178H346N6O86
hit structure
1:671467 C73H147N3O36
hit structure
1:671468 C27H54O14S
hit structure
1:671469 C9H20O4S
hit structure
1:671470 C17H36O8S
hit structure
1:671471 C25H52O12S
hit structure
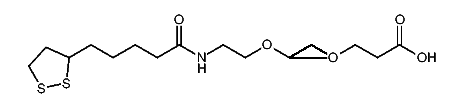
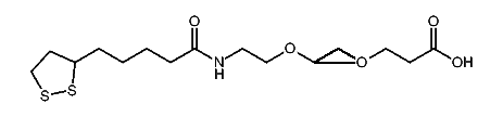
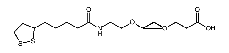
1:671472 C19H35NO7S2
hit structure
1:671473 C27H51NO11S2
hit structure
1:671474 C59H115NO27S2
hit structure
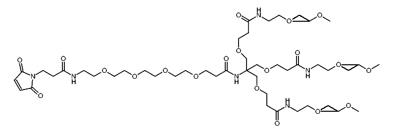
1:671475 C25H41N3O7S2
hit structure

1
  <<    <    >    >>  

entries in data collection: 672870