Home Browse Text SearchFunctional Group SearchStructure SearchPreferences Administration

selected data collection: 1

IRIS SDF: browse content


1
  <<    <    >    >>  

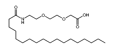
1:671177 C24H47NO5
hit structure
1:671178 C16H36N2O7
hit structure
1:671179 C70H127N3O35
hit structure
1:671180 C74H129NO32
hit structure
1:671181 C19H34N4O5S2
hit structure
1:671182 C19H34N4O5S2
hit structure
1:671183 C19H34N4O5S2
hit structure
1:671184 C7H15N3O3
hit structure
1:671185 C12H24N2O7
hit structure
1:671186 C54H48N2O6
hit structure
1:671187 C39H41NO7
hit structure
1:671188 C26H25NO5
hit structure
1:671189 C55H47N3O5
hit structure
1:671190 C36H37NO5
hit structure
1:671191 C36H37NO5
hit structure
1:671192 C41H46N2O7
hit structure
1:671193 C35H35NO5S
hit structure
1:671194 C36H37NO5
hit structure
1:671195 C40H44N2O7
hit structure
1:671196 C39H35NO5
hit structure
1:671197 C13H13NO5
hit structure
1:671198 C19H16N2O7
hit structure
1:671199 C19H24N2O7
hit structure
1:671200 C18H19NO5
hit structure
1:671201 C19H21NO5
hit structure

1
  <<    <    >    >>  

entries in data collection: 672870