Home Browse Text SearchFunctional Group SearchStructure SearchPreferences Administration

selected data collection: 1

IRIS SDF: browse content


1
  <<    <    >    >>  

1:670902 C55H65N7O12
hit structure
1:670903 C51H53N7O16
hit structure
1:670904 C48H63N13O10
hit structure
1:670905 C23H34N4O4S3
hit structure
1:670906 C14H20N4O4
hit structure
1:670907 C16H15N5
hit structure
1:670908 C27H38D6O2
hit structure
1:670909 C27H40D6O2
hit structure
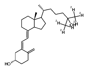
1:670910 C27H38D6O
hit structure
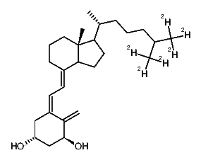
1:670911 C27H38D6O2
hit structure
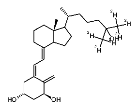
1:670912 C27H38D6O3
hit structure
1:670913 C27H41D3O
hit structure
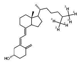
1:670914 C27H38D6O
hit structure
1:670915 C27H40D6O
hit structure
1:670916 C28H38D6O2
hit structure
1:670917 C28H38D6O2
hit structure
1:670918 C28H38D6O3
hit structure
1:670919 C28H41D3O
hit structure
1:670920 C28H38D6O
hit structure
1:670921 C29H47D3O2
hit structure
1:670922 C29H44D6O2
hit structure
1:670923 C31H46D6O3
hit structure
1:670924 C29H41D9O2
hit structure
1:670925 C31H43D9O3
hit structure
1:670926 C16H25ClN2O4
hit structure

1
  <<    <    >    >>  

entries in data collection: 678500