Home Browse Text SearchFunctional Group SearchStructure SearchPreferences Administration

selected data collection: 1

IRIS SDF: browse content


1
  <<    <    >    >>  

1:669857 C24H28N2O6
hit structure
1:669858 C25H30N2O6
hit structure
1:669859 C21H23NO4S
hit structure
1:669860 C26H31NO6
hit structure
1:669861 C27H37NO5Si
hit structure
1:669862 C37H45N7O7S
hit structure
1:669863 C24H28N2O5
hit structure
1:669864 C22H24N4O4
hit structure
1:669865 C35H44N2O6
hit structure
1:669866 C25H28N2O5
hit structure
1:669867 C28H28N2O8S
hit structure
1:669868 C29H27N5O3S
hit structure
1:669869 C26H19N3O4S2
hit structure
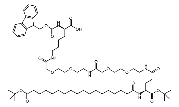
1:669870 C64H101N5O16
hit structure
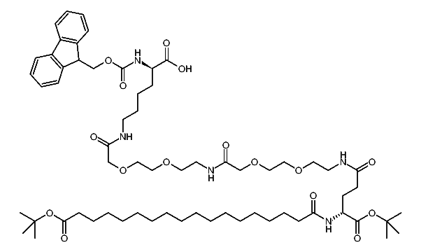
1:669871 C64H101N5O16
hit structure
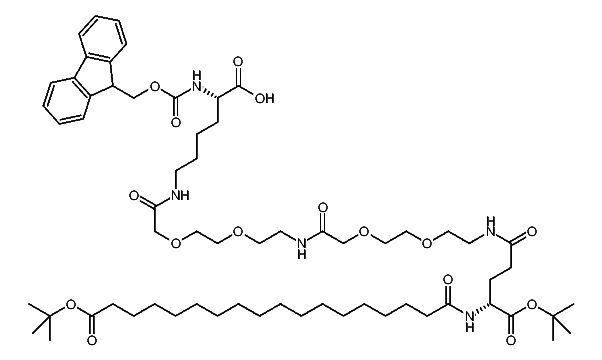
1:669872 C64H101N5O16
hit structure
1:669873 C22H21NO4S
hit structure
1:669874 C25H28N2O6
hit structure
1:669875 C24H24N2O6
hit structure
1:669876 C28H36N2O6
hit structure
1:669877 C39H34N2O5
hit structure
1:669878 C22H23NO4
hit structure
1:669879 C28H34N2O7
hit structure
1:669880 C29H36N2O7
hit structure
1:669881 C30H38N2O7
hit structure

1
  <<    <    >    >>  

entries in data collection: 672870