Home Browse Text SearchFunctional Group SearchStructure SearchPreferences Administration

selected data collection: 1

IRIS SDF: browse content


1
  <<    <    >    >>  

1:669707 C28H28N2O8S
hit structure
1:669708 C29H29N5O6
hit structure
1:669709 C29H29N5O6
hit structure
1:669710 C36H50N2O5
hit structure
1:669711 C27H30N2O7
hit structure
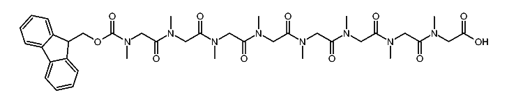
1:669712 C27H32N4O7
hit structure
1:669713 C40H36N2O4
hit structure
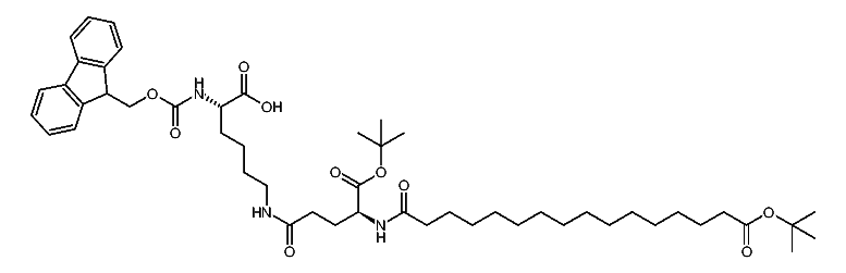
1:669714 C39H56N2O5
hit structure
1:669715 C40H36N2O4
hit structure
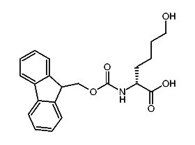
1:669716 C21H23NO5
hit structure
1:669717 C22H19F3N2O5
hit structure
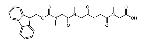
1:669718 C39H52N8O11
hit structure
1:669719 C22H19F3N2O5
hit structure
1:669720 C28H27NO6
hit structure
1:669721 C26H30N2O6
hit structure
1:669722 C28H27NO6
hit structure
1:669723 C26H30N2O6
hit structure
1:669724 C29H29NO6
hit structure
1:669725 C50H75N3O10
hit structure
1:669726 C29H29NO6
hit structure
1:669727 C41H60N2O7
hit structure
1:669728 C27H30N2O5
hit structure
1:669729 C27H21N3O4
hit structure
1:669730 C27H21N3O4
hit structure
1:669731 C27H21N3O4
hit structure

1
  <<    <    >    >>  

entries in data collection: 672870