Home Browse Text SearchFunctional Group SearchStructure SearchPreferences Administration

selected data collection: 1

IRIS SDF: browse content


1
  <<    <    >    >>  

1:669232 C38H33NO4S
hit structure
1:669233 C43H42N2O5S
hit structure
1:669234 C38H40KN3O10S
hit structure
1:669235 C21H18N2O4
hit structure
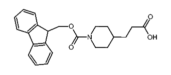
1:669236 C23H27NO5
hit structure
1:669237 C23H27NO5
hit structure
1:669238 C20H19NO4S
hit structure
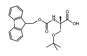
1:669239 C20H19NO5
hit structure
1:669240 C23H19NO4
hit structure
1:669241 C23H19NO4
hit structure
1:669242 C20H17NO4
hit structure
1:669243 C48H42N2O10
hit structure
1:669244 C48H42N2O10
hit structure
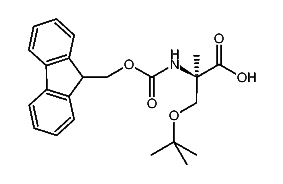
1:669245 C20H19NO4
hit structure
1:669246 C50H46N2O8
hit structure
1:669247 C29H32NO7P
hit structure
1:669248 C25H23NO4
hit structure
1:669249 C25H23NO4
hit structure
1:669250 C22H23NO4
hit structure
1:669251 C22H23NO4
hit structure
1:669252 C22H23NO4
hit structure
1:669253 C23H25NO4
hit structure
1:669254 C24H27NO4
hit structure
1:669255 C25H28N2O4
hit structure
1:669256 C21H21NO5
hit structure

1
  <<    <    >    >>  

entries in data collection: 684130