Home Browse Text SearchFunctional Group SearchStructure SearchPreferences Administration

selected data collection: 1

IRIS SDF: browse content


1
  <<    <    >    >>  

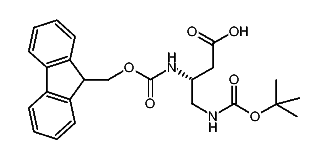
1:669082 C24H28N2O6
hit structure
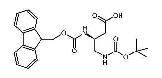
1:669083 C24H28N2O6
hit structure
1:669084 C26H31NO6
hit structure
1:669085 C25H28N2O6
hit structure
1:669086 C21H21NO4
hit structure
1:669087 C21H21NO4
hit structure
1:669088 C22H23NO4
hit structure
1:669089 C22H23NO4
hit structure
1:669090 C26H23NO4
hit structure
1:669091 C26H23NO4
hit structure
1:669092 C26H29NO4
hit structure
1:669093 C39H33NO4S
hit structure
1:669094 C39H33NO4S
hit structure
1:669095 C23H27NO4S2
hit structure
1:669096 C52H46N2O8
hit structure
1:669097 C52H46N2O8
hit structure
1:669098 C35H42N4O7S
hit structure
1:669099 C26H31NO6S
hit structure
1:669100 C22H24N2O6
hit structure
1:669101 C26H25NO6
hit structure
1:669102 C27H27NO7
hit structure
1:669103 C20H19NO4
hit structure
1:669104 C22H23NO4
hit structure
1:669105 C22H23NO4
hit structure
1:669106 C22H24N2O4
hit structure

1
  <<    <    >    >>  

entries in data collection: 684130