Home Browse Text SearchFunctional Group SearchStructure SearchPreferences Administration

selected data collection: 1

IRIS SDF: browse content


1
  <<    <    >    >>  

1:668407 C11H17NO
hit structure
1:668408 C15H21NO4
hit structure
1:668409 C11H17NO
hit structure
1:668410 C11H15BrO
hit structure
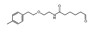
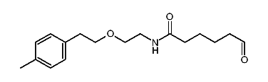
1:668411 C17H25NO3
hit structure
1:668412 C18H30O5
hit structure
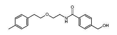
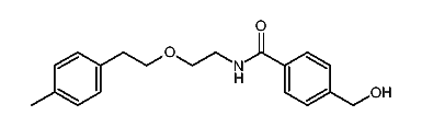
1:668413 C19H22O4
hit structure
1:668414 C18H20O3
hit structure
1:668415 C19H23NO3
hit structure
1:668416 C43H44N2O7
hit structure
1:668417 C16H22O4
hit structure
1:668418 C11H16OS
hit structure
1:668419 C31H31NO3
hit structure
1:668420 C18H22O3
hit structure
1:668421 C11H15BrO
hit structure
1:668422 C17H25NO3
hit structure
1:668423 C18H30O5
hit structure
1:668424 C19H22O4
hit structure
1:668425 C18H20O3
hit structure
1:668426 C19H23NO3
hit structure
1:668427 C43H44N2O7
hit structure
1:668428 C16H22O4
hit structure
1:668429 C11H16OS
hit structure
1:668430 C31H31NO3
hit structure
1:668431 C18H22O3
hit structure

1
  <<    <    >    >>  

entries in data collection: 701020