Home Browse Text SearchFunctional Group SearchStructure SearchPreferences Administration

selected data collection: 1

IRIS SDF: browse content


1
  <<    <    >    >>  

1:666677 C6H7NO5
hit structure
1:666678 C10H11NO2S
hit structure
1:666679 C8H9NO2
hit structure
1:666680 C10H15NO4
hit structure
1:666681 C14H18N2O6
hit structure
1:666682 C12H19NO6
hit structure
1:666683 C16H22N2O8
hit structure
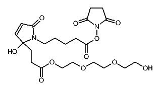
1:666684 C22H32N2O11
hit structure
1:666685 C17H25N3O5
hit structure
1:666686 C11H16N2O4
hit structure
1:666687 C19H21N3O10
hit structure
1:666688 C9H10O3S
hit structure
1:666689 C26H38N4O7S
hit structure
1:666690 C16H22N4O5
hit structure
1:666691 C19H25NO6
hit structure
1:666692 C10H15N3O2
hit structure
1:666693 C13H28BrN5O4
hit structure
1:666694 C31H26N2O7S2
hit structure
1:666695 C35H29N3O7S2
hit structure
1:666696 C30H27N3O7S2
hit structure
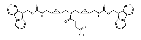
1:666697 C30H57N3O13
hit structure
1:666698 C50H61N3O13
hit structure
1:666699 C13H26N2O5
hit structure
1:666700 C28H31NO5S
hit structure
1:666701 C13H8O3
hit structure

1
  <<    <    >    >>  

entries in data collection: 667240