Home Browse Text SearchFunctional Group SearchStructure SearchPreferences Administration

selected data collection: 1

IRIS SDF: browse content


1
  <<    <    >    >>  

1:666602 C20H18N2O3S2
hit structure
1:666603 C18H18N6O2
hit structure
1:666604 C27H36N6O7
hit structure
1:666605 C10H10N2O3
hit structure
1:666606 C19H23N9O2
hit structure
1:666607 C24H33N9O6
hit structure
1:666608 C12H21N5O4
hit structure
1:666609 C20H19N7O4
hit structure
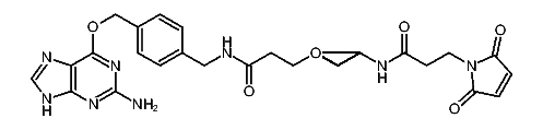
1:666610 C31H40N8O9
hit structure
1:666611 C21H21N7O2S2
hit structure
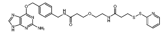
1:666612 C26H30N8O4S2
hit structure
1:666613 C34H31N7O3
hit structure
1:666614 C24H22N2O2
hit structure
1:666615 C23H21F9N4O4S
hit structure
1:666616 C21H16F9NO5S
hit structure
1:666617 C35H41F9N4O6S2
hit structure
1:666618 C16H30N4O4S
hit structure
1:666619 C7H7N3O
hit structure
1:666620 C8H4N2O4S
hit structure
1:666621 C12H16N2O5S2
hit structure
1:666622 C5H9N3O2S2
hit structure
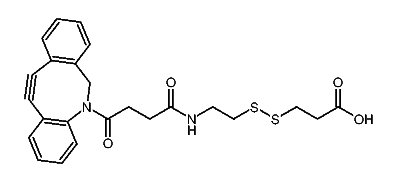
1:666623 C24H24N2O4S2
hit structure
1:666624 C14H24N6O2S3
hit structure
1:666625 C20H22BNO7
hit structure
1:666626 C36H35BN2O13
hit structure

1
  <<    <    >    >>  

entries in data collection: 667240