Home Browse Text SearchFunctional Group SearchStructure SearchPreferences Administration

selected data collection: 1

IRIS SDF: browse content


1
  <<    <    >    >>  

1:666477 C25H22N2O5
hit structure
1:666478 C32H40N2O9
hit structure
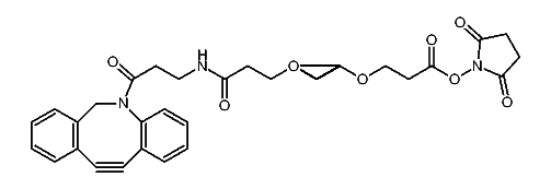
1:666479 C36H43N3O11
hit structure
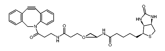
1:666480 C59H69N3O14S3
hit structure
1:666481 C25H21N3O4
hit structure
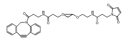
1:666482 C36H42N4O9
hit structure
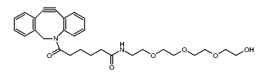
1:666483 C29H36N2O6
hit structure
1:666484 C39H51N5O8S
hit structure
1:666485 C26H30N2O4
hit structure
1:666486 C26H30N2O4
hit structure
1:666487 C26H30N2O4
hit structure
1:666488 C26H30N2O4
hit structure
1:666489 C9H6N4O2
hit structure
1:666490 C15H10N2O6
hit structure
1:666491 C16H12N2O6
hit structure
1:666492 C15H10N2O6
hit structure
1:666493 C16H12N2O6
hit structure
1:666494 C12H12N2O6
hit structure
1:666495 C22H29N3O7
hit structure
1:666496 C14H16N2O6
hit structure
1:666497 C13H14N2O6
hit structure
1:666498 C18H16N2O6
hit structure
1:666499 C17H21N3O7
hit structure
1:666500 C21H26O4S3
hit structure
1:666501 C20H21N3O6S2
hit structure

1
  <<    <    >    >>  

entries in data collection: 672870