Home Browse Text SearchFunctional Group SearchStructure SearchPreferences Administration

selected data collection: 1

IRIS SDF: browse content


1
  <<    <    >    >>  

1:665899 C39H60N2O19
hit structure
1:665900 C26H29NO4
hit structure
1:665901 C29H60N2O14
hit structure
1:665902 C34H66N4O14S
hit structure
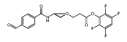
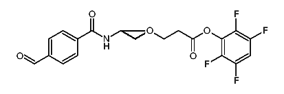
1:665903 C41H59F4NO16
hit structure
1:665904 C65H107F4NO28
hit structure
1:665905 C34H65N3O13S2
hit structure
1:665906 C12H15NO5
hit structure
1:665907 C16H20N2O2S4
hit structure
1:665908 C16H20N2O2S4
hit structure
1:665909 C16H20N2O2S4
hit structure
1:665910 C16H20N2O2S4
hit structure
1:665911 C16H20N2O2S4
hit structure
1:665912 C12H19NO3S2
hit structure
1:665913 C12H19NO3S2
hit structure
1:665914 C12H19NO3S2
hit structure
1:665915 C12H19NO3S2
hit structure
1:665916 C12H19NO3S2
hit structure
1:665917 C24H37N5O5S3
hit structure
1:665918 C24H37N5O5S3
hit structure
1:665919 C24H37N5O5S3
hit structure
1:665920 C24H37N5O5S3
hit structure
1:665921 C12H28N2O6Si
hit structure
1:665922 C12H28N2O6Si
hit structure
1:665923 C12H28N2O6Si
hit structure

1
  <<    <    >    >>  

entries in data collection: 672870