Home Browse Text SearchFunctional Group SearchStructure SearchPreferences Administration

selected data collection: 1

IRIS SDF: browse content


1
  <<    <    >    >>  

1:665872 C19H37N3O10
hit structure
1:665873 C27H53N3O14
hit structure
1:665874 C51H101N3O26
hit structure
1:665875 C24H49N3O11
hit structure
1:665876 C32H65N3O15
hit structure
1:665877 C65H120N4O30S
hit structure
1:665878 C61H117N3O28S
hit structure
1:665879 C112H218N4O53S
hit structure
1:665880 C26H50N4O9S
hit structure
1:665881 C34H66N4O13S
hit structure
1:665882 C58H114N4O25S
hit structure
1:665883 C65H119N5O28S
hit structure
1:665884 C26H48N6O9S
hit structure
1:665885 C34H64N6O13S
hit structure
1:665886 C58H112N6O25S
hit structure
1:665887 C24H29NO7
hit structure
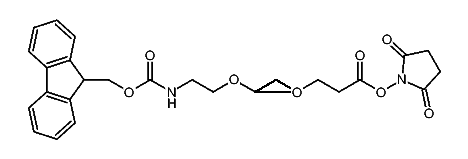
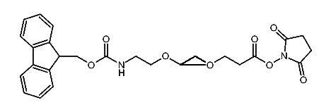
1:665888 C28H37NO9
hit structure
1:665889 C90H161NO40
hit structure
1:665890 C30H36N2O10
hit structure
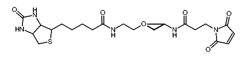
1:665891 C38H52N2O14
hit structure
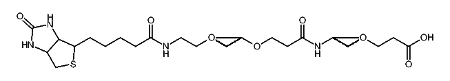
1:665892 C46H68N2O18
hit structure
1:665893 C42H59N5O11S
hit structure
1:665894 C58H91N5O19S
hit structure
1:665895 C56H111NO28
hit structure
1:665896 C80H159NO40
hit structure

1
  <<    <    >    >>  

entries in data collection: 672870