Home Browse Text SearchFunctional Group SearchStructure SearchPreferences Administration

selected data collection: 1

IRIS SDF: browse content


1
  <<    <    >    >>  

1:665822 C6H11IN4O2
hit structure
1:665823 C6H11IN4O2
hit structure
1:665824 C6H11IN4O2
hit structure
1:665825 C80H155NO41
hit structure
1:665826 C76H152O39
hit structure
1:665827 C102H203NO51
hit structure
1:665828 C47H96O24
hit structure
1:665829 C73H148O37
hit structure
1:665830 C31H65NO15
hit structure
1:665831 C73H149NO36
hit structure
1:665832 C97H197NO48
hit structure
1:665833 C75H151NO38
hit structure
1:665834 C80H154N2O39
hit structure
1:665835 C104H202N2O51
hit structure
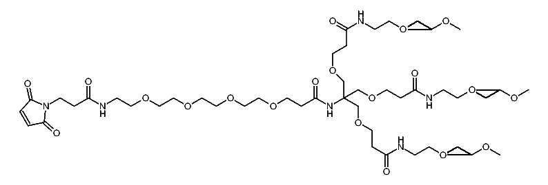
1:665836 C178H346N6O86
hit structure
1:665837 C73H147N3O36
hit structure
1:665838 C27H54O14S
hit structure
1:665839 C9H20O4S
hit structure
1:665840 C17H36O8S
hit structure
1:665841 C25H52O12S
hit structure
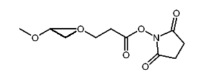
1:665842 C19H35NO7S2
hit structure
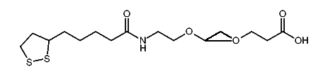
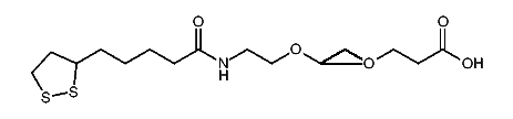
1:665843 C27H51NO11S2
hit structure
1:665844 C59H115NO27S2
hit structure
1:665845 C25H41N3O7S2
hit structure
1:665846 C39H69N3O15S2
hit structure

1
  <<    <    >    >>  

entries in data collection: 672870