Home Browse Text SearchFunctional Group SearchStructure SearchPreferences Administration

selected data collection: 1

IRIS SDF: browse content


1
  <<    <    >    >>  

1:665674 C27H43N5O8S
hit structure
1:665675 C26H44N2O13
hit structure
1:665676 C10H20O6
hit structure
1:665677 C18H36O10
hit structure
1:665678 C6H12O4
hit structure
1:665679 C52H104O27
hit structure
1:665680 C25H53NO12
hit structure
1:665681 C25H51N3O12
hit structure
1:665682 C32H58N2O15
hit structure
1:665683 C49H101NO24
hit structure
1:665684 C56H106N2O27
hit structure
1:665685 C9H21NO4
hit structure
1:665686 C9H19N3O4
hit structure
1:665687 C17H37NO8
hit structure
1:665688 C17H35N3O8
hit structure
1:665689 C49H99N3O24
hit structure
1:665690 C15H33NO7
hit structure
1:665691 C39H54O11S
hit structure
1:665692 C31H38O7S
hit structure
1:665693 C35H61NO16
hit structure
1:665694 C59H109NO28
hit structure
1:665695 C23H37NO10
hit structure
1:665696 C27H45NO12
hit structure
1:665697 C31H43N3O9
hit structure
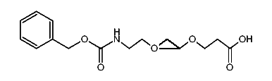
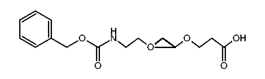
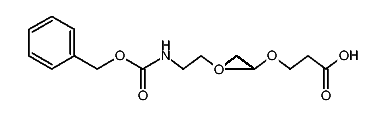
1:665698 C22H25NO6
hit structure

1
  <<    <    >    >>  

entries in data collection: 667240