Home Browse Text SearchFunctional Group SearchStructure SearchPreferences Administration

selected data collection: 1

IRIS SDF: browse content


1
  <<    <    >    >>  

1:665524 C23H27NO6
hit structure
1:665525 C17H28N2O8
hit structure
1:665526 C17H28N2O8
hit structure
1:665527 C17H28N2O8
hit structure
1:665528 C11H23NO4S
hit structure
1:665529 C11H23NO4S
hit structure
1:665530 C11H23NO4S
hit structure
1:665531 C27H30N2O8
hit structure
1:665532 C27H30N2O8
hit structure
1:665533 C27H30N2O8
hit structure
1:665534 C20H40O10S
hit structure
1:665535 C19H38O10S
hit structure
1:665536 C6H14O2S2
hit structure
1:665537 C6H14O2S2
hit structure
1:665538 C6H14O2S2
hit structure
1:665539 C6H14O2S2
hit structure
1:665540 C6H14O2S2
hit structure
1:665541 C14H16N2O6
hit structure
1:665542 C14H16N2O6
hit structure
1:665543 C14H16N2O6
hit structure
1:665544 C14H16N2O6
hit structure
1:665545 C34H38N2O7S
hit structure
1:665546 C34H38N2O7S
hit structure
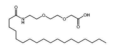
1:665547 C24H47NO5
hit structure
1:665548 C16H36N2O7
hit structure

1
  <<    <    >    >>  

entries in data collection: 667240