Home Browse Text SearchFunctional Group SearchStructure SearchPreferences Administration

selected data collection: 1

IRIS SDF: browse content


1
  <<    <    >    >>  

1:665447 C9H19NO4
hit structure
1:665448 C9H19NO4
hit structure
1:665449 C9H19NO4
hit structure
1:665450 C26H29NO3S
hit structure
1:665451 C26H29NO3S
hit structure
1:665452 C26H29NO3S
hit structure
1:665453 C26H30N2O2S
hit structure
1:665454 C26H30N2O2S
hit structure
1:665455 C26H30N2O2S
hit structure
1:665456 C13H25N3O6
hit structure
1:665457 C13H25N3O6
hit structure
1:665458 C13H25N3O6
hit structure
1:665459 C5H12O3
hit structure
1:665460 C5H12O3
hit structure
1:665461 C5H12O3
hit structure
1:665462 C5H12O3
hit structure
1:665463 C5H12O3
hit structure
1:665464 C23H48O12
hit structure
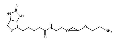
1:665465 C30H58N4O11S
hit structure
1:665466 C16H30N4O4S
hit structure
1:665467 C16H30N4O4S
hit structure
1:665468 C16H30N4O4S
hit structure
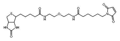
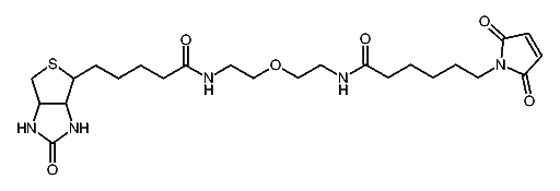
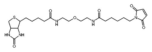
1:665469 C24H37N5O6S
hit structure
1:665470 C24H37N5O6S
hit structure
1:665471 C24H37N5O6S
hit structure

1
  <<    <    >    >>  

entries in data collection: 667240