Home Browse Text SearchFunctional Group SearchStructure SearchPreferences Administration

selected data collection: 1

IRIS SDF: browse content


1
  <<    <    >    >>  

1:665276 C14H20N4O4
hit structure
1:665277 C16H15N5
hit structure
1:665278 C27H38D6O2
hit structure
1:665279 C27H40D6O2
hit structure
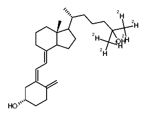
1:665280 C27H38D6O
hit structure
1:665281 C27H38D6O2
hit structure
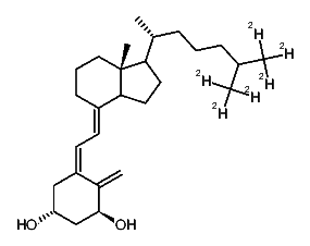
1:665282 C27H38D6O3
hit structure
1:665283 C27H41D3O
hit structure
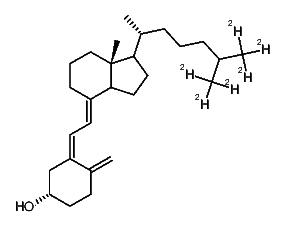
1:665284 C27H38D6O
hit structure
1:665285 C27H40D6O
hit structure
1:665286 C28H38D6O2
hit structure
1:665287 C28H38D6O2
hit structure
1:665288 C28H38D6O3
hit structure
1:665289 C28H41D3O
hit structure
1:665290 C28H38D6O
hit structure
1:665291 C29H47D3O2
hit structure
1:665292 C29H44D6O2
hit structure
1:665293 C31H46D6O3
hit structure
1:665294 C29H41D9O2
hit structure
1:665295 C31H43D9O3
hit structure
1:665296 C16H25ClN2O4
hit structure
1:665297 C15H27N5O5
hit structure
1:665298 C40H78N12O12S
hit structure
1:665299 C34H63N5O9
hit structure
1:665300 C34H55N5O9S3
hit structure

1
  <<    <    >    >>  

entries in data collection: 667240