Home Browse Text SearchFunctional Group SearchStructure SearchPreferences Administration

selected data collection: 1

IRIS SDF: browse content


1
  <<    <    >    >>  

1:665105 C14H19N5O4
hit structure
1:665106 C12H16N2O6S
hit structure
1:665107 C21H35NO3
hit structure
1:665108 C21H21N5O5
hit structure
1:665109 C8H15N5O3
hit structure
1:665110 C6H12N2O4Se2
hit structure
1:665111 C12H14N2O6Se
hit structure
1:665112 C14H19N5O4
hit structure
1:665113 C14H19N5O4
hit structure
1:665114 C25H32N2O4
hit structure
1:665115 C12H20N2O5
hit structure
1:665116 C11H18N2O3
hit structure
1:665117 C9H15N3O2
hit structure
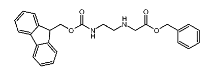
1:665118 C26H26N2O4
hit structure
1:665119 C12H26N2O4Si
hit structure
1:665120 C10H12N2O4Se
hit structure
1:665121 C12H13N5O2
hit structure
1:665122 C11H14N2O4Se
hit structure
1:665123 C14H16N8O2
hit structure
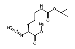
1:665124 C10H17N4NaO4
hit structure
1:665125 C12H13N5O2
hit structure
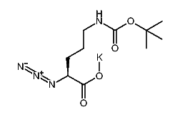
1:665126 C10H17KN4O4
hit structure
1:665127 C15H19N5O2
hit structure
1:665128 C14H17N5O2
hit structure
1:665129 C20H32N4O5S
hit structure

1
  <<    <    >    >>  

entries in data collection: 667240