Home Browse Text SearchFunctional Group SearchStructure SearchPreferences Administration

selected data collection: 1

IRIS SDF: browse content


1
  <<    <    >    >>  

1:664752 C16H30N2O4
hit structure
1:664753 C7H13NO2
hit structure
1:664754 C16H30N2O4
hit structure
1:664755 C14H22N2O4
hit structure
1:664756 C14H22N2O4
hit structure
1:664757 C18H30N2O4
hit structure
1:664758 C6H13NO2
hit structure
1:664759 C7H15NO2
hit structure
1:664760 C8H17NO2
hit structure
1:664761 C9H19NO2
hit structure
1:664762 C7H15NO2
hit structure
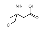
1:664763 C5H10ClNO2
hit structure
1:664764 C6H11NO2
hit structure
1:664765 C9H17NO2
hit structure
1:664766 C10H19NO2
hit structure
1:664767 C7H15NO2
hit structure
1:664768 C7H13NO2
hit structure
1:664769 C7H13NO3
hit structure
1:664770 C5H9NO2
hit structure
1:664771 C6H11NO2
hit structure
1:664772 C9H11NO2
hit structure
1:664773 C9H11NO2
hit structure
1:664774 C14H21N7O4
hit structure
1:664775 C6H10F3NO2
hit structure
1:664776 C12H12F3NO3
hit structure

1
  <<    <    >    >>  

entries in data collection: 667240