Home Browse Text SearchFunctional Group SearchStructure SearchPreferences Administration

selected data collection: 1

IRIS SDF: browse content


1
  <<    <    >    >>  

1:664229 C21H23NO4S
hit structure
1:664230 C26H31NO6
hit structure
1:664231 C27H37NO5Si
hit structure
1:664232 C37H45N7O7S
hit structure
1:664233 C24H28N2O5
hit structure
1:664234 C22H24N4O4
hit structure
1:664235 C35H44N2O6
hit structure
1:664236 C25H28N2O5
hit structure
1:664237 C28H28N2O8S
hit structure
1:664238 C29H27N5O3S
hit structure
1:664239 C26H19N3O4S2
hit structure
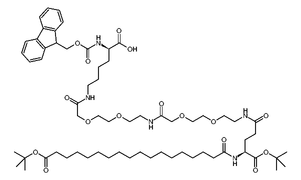
1:664240 C64H101N5O16
hit structure
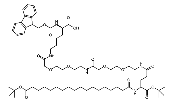
1:664241 C64H101N5O16
hit structure
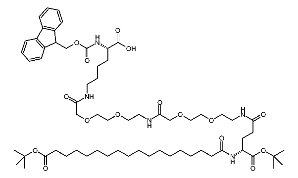
1:664242 C64H101N5O16
hit structure
1:664243 C22H21NO4S
hit structure
1:664244 C25H28N2O6
hit structure
1:664245 C24H24N2O6
hit structure
1:664246 C28H36N2O6
hit structure
1:664247 C39H34N2O5
hit structure
1:664248 C22H23NO4
hit structure
1:664249 C28H34N2O7
hit structure
1:664250 C29H36N2O7
hit structure
1:664251 C30H38N2O7
hit structure
1:664252 C26H30N2O6
hit structure
1:664253 C23H26N4O4
hit structure

1
  <<    <    >    >>  

entries in data collection: 667240