Home Browse Text SearchFunctional Group SearchStructure SearchPreferences Administration

selected data collection: 1

IRIS SDF: browse content


1
  <<    <    >    >>  

1:664082 C27H32N4O7
hit structure
1:664083 C40H36N2O4
hit structure
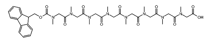
1:664084 C39H56N2O5
hit structure
1:664085 C40H36N2O4
hit structure
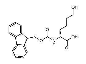
1:664086 C21H23NO5
hit structure
1:664087 C22H19F3N2O5
hit structure
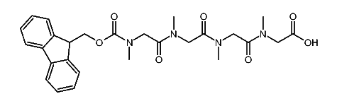
1:664088 C39H52N8O11
hit structure
1:664089 C22H19F3N2O5
hit structure
1:664090 C28H27NO6
hit structure
1:664091 C26H30N2O6
hit structure
1:664092 C28H27NO6
hit structure
1:664093 C26H30N2O6
hit structure
1:664094 C29H29NO6
hit structure
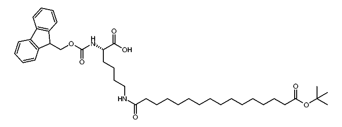
1:664095 C50H75N3O10
hit structure
1:664096 C29H29NO6
hit structure
1:664097 C41H60N2O7
hit structure
1:664098 C27H30N2O5
hit structure
1:664099 C27H21N3O4
hit structure
1:664100 C27H21N3O4
hit structure
1:664101 C27H21N3O4
hit structure
1:664102 C27H21N3O4
hit structure
1:664103 C27H23FN2O4
hit structure
1:664104 C27H23FN2O4
hit structure
1:664105 C27H23FN2O4
hit structure
1:664106 C27H23FN2O4
hit structure

1
  <<    <    >    >>  

entries in data collection: 667240