Home Browse Text SearchFunctional Group SearchStructure SearchPreferences Administration

selected data collection: 1

IRIS SDF: browse content


1
  <<    <    >    >>  

1:663504 C21H19NO5
hit structure
1:663505 C27H23NO5
hit structure
1:663506 C39H35NO5S
hit structure
1:663507 C24H21NO4
hit structure
1:663508 C24H21NO4
hit structure
1:663509 C24H21NO4
hit structure
1:663510 C29H31NO5
hit structure
1:663511 C25H23NO5
hit structure
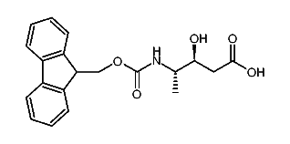
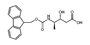
1:663512 C20H19NO4
hit structure
1:663513 C25H21N3O7
hit structure
1:663514 C22H23NO4
hit structure
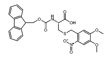
1:663515 C27H26N2O8S
hit structure
1:663516 C20H21NO5
hit structure
1:663517 C20H21NO5
hit structure
1:663518 C23H27NO4S
hit structure
1:663519 C21H23NO4S
hit structure
1:663520 C24H21NO5
hit structure
1:663521 C28H29NO5
hit structure
1:663522 C19H17NO4
hit structure
1:663523 C19H17NO4
hit structure
1:663524 C21H22N4O4
hit structure
1:663525 C19H18N4O4
hit structure
1:663526 C28H36N2O6
hit structure
1:663527 C33H31NO6S3
hit structure
1:663528 C23H25NO5S
hit structure

1
  <<    <    >    >>  

entries in data collection: 667240