Home Browse Text SearchFunctional Group SearchStructure SearchPreferences Administration

selected data collection: 1

IRIS SDF: browse content


1
  <<    <    >    >>  

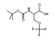
1:662381 C15H18F3NO4
hit structure
1:662382 C16H17F6NO4
hit structure
1:662383 C14H17Cl2NO4
hit structure
1:662384 C17H25NO7
hit structure
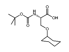
1:662385 C16H23NO4
hit structure
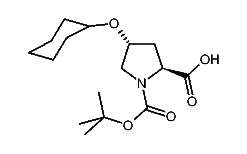
1:662386 C16H23NO5
hit structure
1:662387 C18H28N2O4
hit structure
1:662388 C15H18F3NO5
hit structure
1:662389 C18H27NO4
hit structure
1:662390 C17H25NO4
hit structure
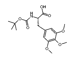
1:662391 C14H19NO5
hit structure
1:662392 C19H37NO4
hit structure
1:662393 C14H19NO5
hit structure
1:662394 C15H20N2O5
hit structure
1:662395 C16H22N2O5
hit structure
1:662396 C17H21N3O4
hit structure
1:662397 C22H24N2O4
hit structure
1:662398 C16H28N2O5
hit structure
1:662399 C15H26N2O5
hit structure
1:662400 C14H25NO5
hit structure
1:662401 C20H29NO5
hit structure
1:662402 C16H27NO5
hit structure
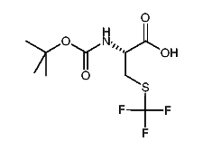
1:662403 C9H14F3NO4S
hit structure
1:662404 C9H14F3NO5
hit structure
1:662405 C10H17F2NO4
hit structure

1
  <<    <    >    >>  

entries in data collection: 667240