Home Browse Text SearchFunctional Group SearchStructure SearchPreferences Administration

selected data collection: 1

IRIS SDF: browse content


1
  <<    <    >    >>  

1:662331 C16H21NO5
hit structure
1:662332 C12H21NO4
hit structure
1:662333 C28H44N2O4
hit structure
1:662334 C20H23NO5
hit structure
1:662335 C14H17NO4
hit structure
1:662336 C11H21NO4
hit structure
1:662337 C11H21NO4
hit structure
1:662338 C11H21NO4
hit structure
1:662339 C13H23NO4
hit structure
1:662340 C12H21NO5
hit structure
1:662341 C12H21NO4
hit structure
1:662342 C14H25NO4
hit structure
1:662343 C14H19NO4
hit structure
1:662344 C15H21NO4
hit structure
1:662345 C10H17NO5
hit structure
1:662346 C12H16N2O5
hit structure
1:662347 C12H23NO4
hit structure
1:662348 C12H19N3O4
hit structure
1:662349 C12H19N3O4
hit structure
1:662350 C21H29N3O5
hit structure
1:662351 C23H44N2O5
hit structure
1:662352 C10H17NO4
hit structure
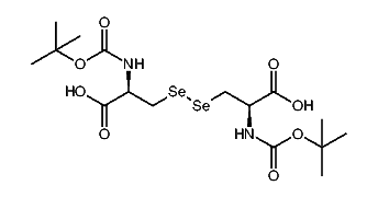
1:662353 C16H28N2O8Se2
hit structure
1:662354 C25H28N2O6
hit structure
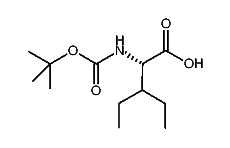
1:662355 C13H25NO4
hit structure

1
  <<    <    >    >>  

entries in data collection: 667240