Home Browse Text SearchFunctional Group SearchStructure SearchPreferences Administration

selected data collection: 1

IRIS SDF: browse content


1
  <<    <    >    >>  

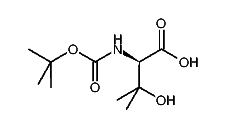
1:662269 C10H19NO5
hit structure
1:662270 C12H21NO4
hit structure
1:662271 C12H21NO4
hit structure
1:662272 C16H23NO4
hit structure
1:662273 C9H14F3NO4
hit structure
1:662274 C9H14F3NO4
hit structure
1:662275 C8H12F2KNO4
hit structure
1:662276 C11H16F3NO4
hit structure
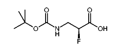
1:662277 C10H16FNO4
hit structure
1:662278 C10H16FNO4
hit structure
1:662279 C10H15F2NO4
hit structure
1:662280 C26H30N2O6
hit structure
1:662281 C24H28N2O6
hit structure
1:662282 C14H17F2NO4
hit structure
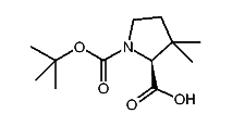
1:662283 C8H14FNO4
hit structure
1:662284 C8H14FNO4
hit structure
1:662285 C28H36F2N2O8
hit structure
1:662286 C20H21F2NO4
hit structure
1:662287 C14H16F9NO5
hit structure
1:662288 C14H16F9NO5
hit structure
1:662289 C10H16F3NO4S
hit structure
1:662290 C10H17N3O4
hit structure
1:662291 C16H28N4O6
hit structure
1:662292 C11H19N3O4
hit structure
1:662293 C10H15N3O4
hit structure

1
  <<    <    >    >>  

entries in data collection: 667240